積極的不登校の実態
2025-06-04 11:21:03

不登校経験者の半数が『積極的不登校』を支持!その理由と現状を探る

不登校経験者と積極的不登校の実態



2025年4月、通信制高校の情報サイトを運営する株式会社プレマシードによって実施された調査が注目を集めています。この調査は、コロナ禍における不登校経験とその意識について、600名を対象に行われました。その結果、特に小・中・高校生の不登校経験者が『積極的不登校』について非常に前向きな意見を持っていることがわかりました。

積極的不登校とは?



『積極的不登校』とは、自分の意思で学校へ行かないことを選択するといった、よりポジティブな考え方です。この言葉を知っていると回答したのは15%ですが、不登校経験のある小・中・高校生では37.5%に上ります。この数字は、積極的不登校に対する理解が深まっていることを示しています。

好意的な評価の背景



調査では、『とても良いと思う』と答えた割合が7.8%、『良いと思う』は25.2%で、合計すると33%が積極的不登校を肯定的に評価しています。不登校経験者の中では、特に小・中・高校生での評価が50%に達しており、高校生以上でも49.2%と非常に高い数値となっています。これらの結果が示すのは、実際に不登校を経験した人々が、自分の意志で学びの選択肢を持っていることへの理解が深まったことです。

学校に通う意義



また、調査では『無理して通うべきではない』という意見が69%と多くの支持を得ている一方で、『多少のことは我慢して通うべき』という意見は31%でした。不登校の経験者は、通常学校に通うことが義務であると認識しつつも、自分の居場所を見つけるための積極的な選択肢として不登校を選び取ることがあるという現実が明らかになりました。

学びの大切さ



さらに、学びに対する意識については、中学・高校での5教科は非常に重要であると考えられていることがわかりました。調査では77.8%の人が中学の5教科の重要性を強く感じており、高校では71.2%が同様の認識を示しています。これは、不登校を経験した生徒たちが、教育を受けることの大切さを強く感じている証拠とも言えるでしょう。

通信制高校の役割



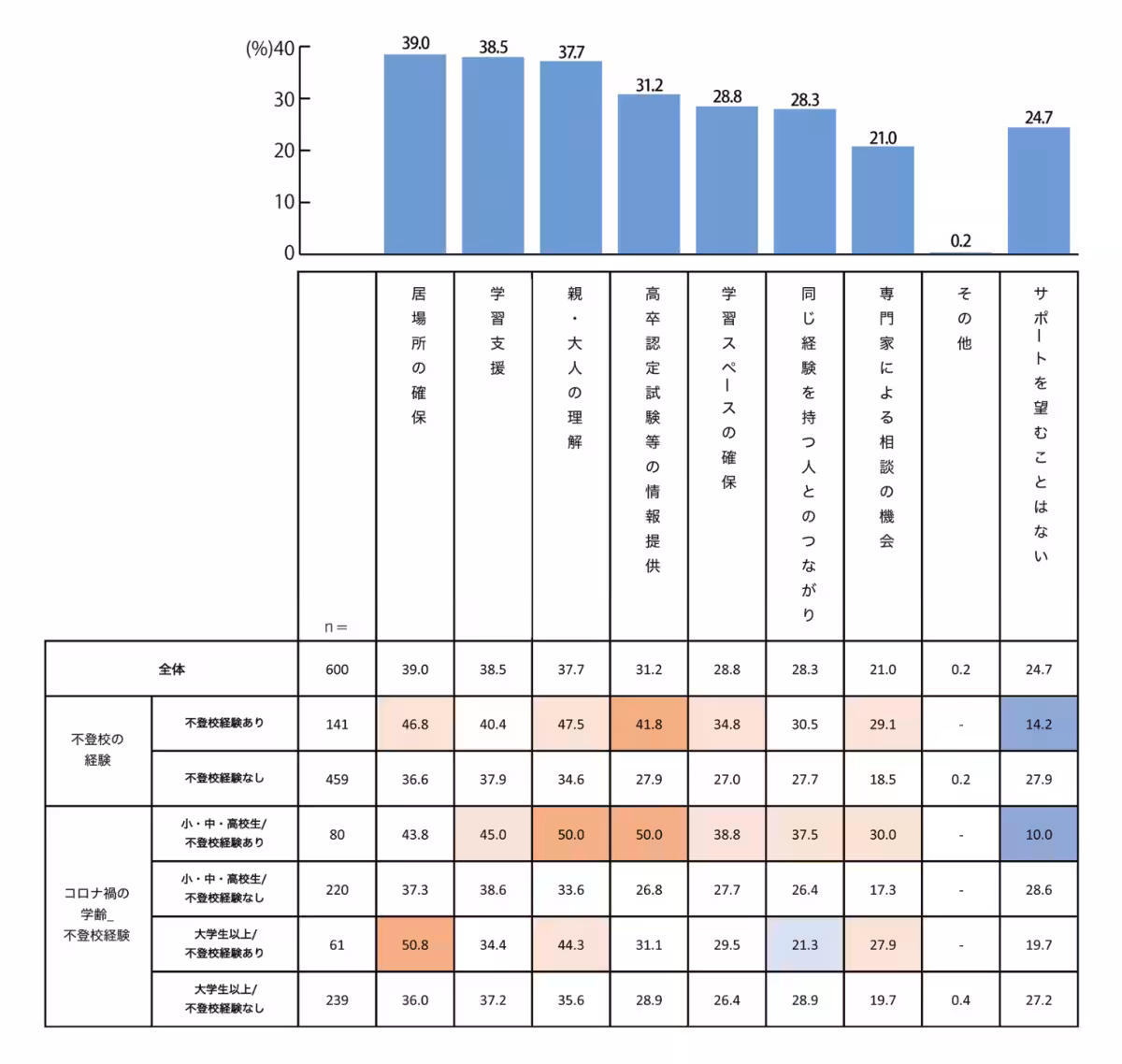
通信制高校やサポート校、フリースクールといった新しい学びの場が今後ますます重要になることがわかります。調査によると、43.5%の人々が『自分の好きなことや追求したい課目をより学べる』環境を望んでおり、同様に63.3%が『自分の居場所だと感じる場所が大切』だと感じています。これらの要求に学校が応えることで、多くの生徒が再び学びの場を持つことができるでしょう。

社会全体の理解が必要



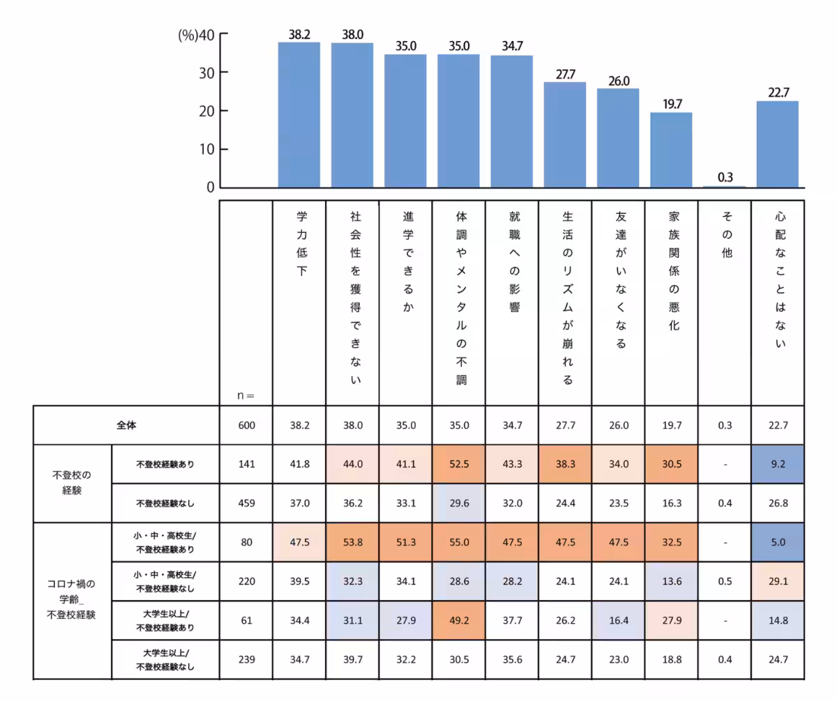
一方で、心配事として最も多く挙げられたのは『学力の低下』や『社会性を獲得できない』ことでした。これらは不登校を経験した多くの人々が抱える厳しい現実の一部でもあります。今回の調査結果を基に、通信制高校は生徒のニーズに応えながら、教育の機会を提供する必要性が強調されています。

本調査から見えるのは、社会全体で不登校に対する理解を深めることの重要性です。不登校経験者の声に耳を傾けることで、より多くの学習環境が柔軟に成立し、生徒一人一人に合った学びの場を提供できるようになるはずです。今後の教育環境において、通信制高校やサポート校の存在がますます重要になっていくでしょう。


画像1

画像2

画像3

画像4

画像5

画像6

画像7

画像8

画像9

関連リンク

サードペディア百科事典: 不登校 通信制高校 学びの場

トピックス(子育て/育児)

【記事の利用について】

タイトルと記事文章は、記事のあるページにリンクを張っていただければ、無料で利用できます。
※画像は、利用できませんのでご注意ください。

【リンクついて】

リンクフリーです。